Integration by Parts


  • From: Joanne Spiers
  • Date: 2 August 1999
  • Subject: Integration by Parts

Integrate e^(2x)*cos(x) from x=0.5 to x=1.5

I have tried integration by parts, but I can't do it.


Maths Help suggests:

You were right to choose to integrate by parts.

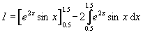
Let  I = integral(e^(2x)*cos(x))dx from 0.5 to 1.5

We will choose  u = e2x  and  v' = cos x.
So  u' = 2e2x  and  v = sin x:

Integrating by parts   (*)

You probably had a result similar to the above. The new integral does not look
much simpler than the one you started with. Perhaps you gave up because of this?

But let us continue with this new integral:

We will choose  U = e2x  and  V' = sin x.
So  U' = 2e2x  and  V = -cos x:

Integrating by parts (again)

And substituting this result back into (*) gives:

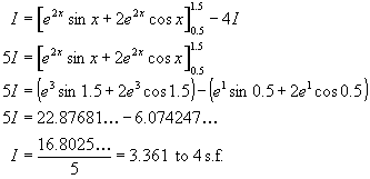
Substituting

Notice the integral on the right is the same as the one you started with.

Solve for I  and evaluate

The answer to your integral is 3.361 to 4 significant figures.


Return to Calculus contents list