Algebraic Long Division


  • From: David Bowen
  • Subject: Long division of polynomials

Please show me how to divide (3x^3 + 2x^2 - 6x + 4) by (x + 2)

 


Maths Help suggests:

First of all, you might like to remind yourself how long division works with numbers.
Click to see a worked example.

The system is similar for algebraic division.

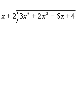
Write the problem as shown on the right.

Note that the terms are written in descending powers of x.

Always focus first on the leading terms.

Find how many times x goes into 3x3.

The result is 3x2.
Write the result in the x2 column on the solution line.

Now multiply the whole of x + 2 by 3x2.

The result is 3x3 + 6x2.

Subtract, giving a remainder of -4x2.

Bring down the -6x.

Now focus again on the leading terms.

Find how many times x goes into -4x2.

The result is -4x. Write this on the solution line.

Multiply the whole of x + 2 by -4x.

Subtract, giving a remainder of 2x.

Bring down the 4.

Find how many times x goes into 2x.

The result is 2. Write this on the solution line.

Multiply the whole of x + 2 by 2.

The result is 2x + 4.

Subtract.
The remainder is zero.

This means that x + 2 is a factor of the original cubic.

 

So, the result of the division
  (3x3 + 2x2 - 6x + 4) ÷ (x + 2)
is   3x2 - 4x + 2.


Return to contents list